I. 서 론
위성용 대형 전개형 안테나 시스템은 반사판 직경의 대형화와 발사 탑재체 중량 최소화라는 상반된 요구조건을 동시에 만족시켜야 한다. 이러한 요구를 충족하기 위한 기술로, 금속 메쉬 구조를 반사판 표면에 적용하는 방식이 활용되고 있으며, 정지궤도 통신 위성이나 SAR 탑재체에서도 적용 사례가 증가하고 있다[1],[2]. 금속 메쉬는 금속 와이어로 짜인 직물 형태로서, 비교적 가볍고 유연한 기계적 특성과 동시에 사용 주파수 대역에서의 높은 반사 효율을 제공한다.
그러나 이러한 메쉬 반사판은 실제 제작 및 배치 과정에서 다양한 구조 인자가 개입된다. 예를 들어, 대면적 반사면을 구현하기 위해 복수의 메쉬 시편을 봉합해야 하며, 시스템 전개 이후에는 국소적 위치별 인장 상태에 오차가 있을 수 있다. 하지만, 이와 같은 구조 조건 변화가 반사면의 전자기 특성에 어떤 영향을 미칠지에 대한 정량적인 실험 결과는 거의 없는 실정이다. 특히 위성 시스템의 특성상, 발사 후 구조 수정이 불가능하다는 점을 고려하면, 봉합 유무나 인장력 편차와 같은 구조 인자가 RF 특성에 유의미한 영향을 주는지 여부를 발사 전에 정량적으로 평가할 수 있는 검증 체계가 필요하다. 이러한 맥락에서 본 연구는 위성용 메쉬 반사판에 사용되는 금속 메쉬 재료를 대상으로, 봉합선의 유무와 인장력의 변화라는 두 가지 구조 조건에 따른 전자기 특성의 변화를 차폐 효과(SE, shielding effectiveness)라는 간접 지표를 통해 정량 평가한다. 여기서 SE는 금속 메쉬 자체의 성능 절대치를 규명하기 위한 목적이 아니며, 구조 인자에 따른 상대적 전자파 투과 특성의 변화 경향성을 파악하는 실험 지표로 사용된다.
II. 시험 구성 및 측정 방법 검증
본 연구에서는 봉합 유무, 장력 조건 등에 따른 금속 메쉬 시편의 차폐 효과를 평가한다. 이는 측정 경로의 반사파 및 회절파 영향을 줄이기 위해 시간 영역 필터링 기법이 적용된 흡수체 패널 기반의 자유공간 측정 구성을 사용하여 수행되었다. 해당 측정 구성은 참고문헌 [3]에서 S 대역(1.5 GHz)을 중심으로 제안․검증된 방식이며, 본 논문에서는 이를 관심 대역인 X(10 GHz) 및 Ka(30 GHz) 대역으로 확장하여 검증하였다. 그림 1은 한국산업기술시험원(KTL, Gyeong-gi, Korea)의 전자파 무반사 챔버 내에 설치된 자유공간 기반 SE 측정 셋업을 나타낸다. 측정은 기준 측정(시편 없음)과 시험 측정(시편 삽입)의 투과계수(S21) 값을 비교하여 SE를 산출하였다.
제안한 자유공간 측정 구성의 정량적 신뢰성을 검증하기 위하여, 동일한 18 OPI(opening per inch)의 사양을 가지는 스테인레스 재질의 금속 메쉬 시편을 대상으로 주파수 대역별로 대표적인 기준 SE 측정법과의 비교 실험을 수행하였다. 각 방법은 사용 주파수 범위에 따라 측정 방법이 상이하며, S-대역에서는 ASTM D4935 기반 측정법을 사용하였으며, X-대역에서는 렌즈 혼 기반으로 회절 억제 효과를 확보한 셋업을 사용하였으며, Ka-대역에서는 차폐함 내부 개구부에 시편을 부착하고 외부 안테나와의 투과 신호를 비교하는 방식의 측정을 수행하였다. 교차검증의 결과는 표 1과 같다. 각 대역별 기준 방법과 본 연구의 자유공간 측정법 간의 SE 결과를 비교한 결과, 전체 대역에 걸쳐 ±1 dB 이내의 편차(Δ) 범위에서 일치함을 확인하였다. 이를 통해 제안된 자유공간 측정 구성은 광대역 범위에서 재현성 있는 정량 평가가 가능함을 실험적으로 입증하였다.
| [dB] | Reference method | Used method |
|---|---|---|
| S (1.5 GHz) | 37.31 | 38.09 (Δ, +0.78) |
| X (10 GHz) | 21.86 | 22.11 (Δ, +0.25) |
| Ka (30 GHz) | 12.57 | 12.49 (Δ, −0.08) |
III. 구조 조건에 따른 차폐 효과 분석
본 장에서는 자유공간 기반 SE 측정 셋업을 활용하여, 위성용 금속 메쉬 반사판 재료의 구조 조건 변화가 전자기적 차폐 성능에 미치는 영향을 정량적으로 평가하였다. 측정 대상은 몰리브덴(Mo) 기반 와이어에 금(Au)이 도금된 Atlas 패턴 금속 메쉬 원단(극동통신, Nonsan, Korea)이며, 이는 실제 위성 반사판 구조에 적용되는 재료와 동일한 사양으로 제작되었다. 모든 시편은 가로세로 380 mm의 정사각형 크기로 제작되었으며, 시편 외곽부는 그림 2(a)와 같이 제작된 전용 프레임(스탭랩, Daejeon, Korea)에 고정하여 직조 방향(course 또는 wale)을 유지한 상태로 측정에 사용되었다. 전용 프레임은 연구에 활용된 SE 측정 셋업에 그림 2(b)와 같이 장착할 수 있도록 제작되었다.
차폐 성능 분석을 위한 구조 조건 변수는 봉합선 유무와 인장력 수준의 변화로 설정되었다. 인장력 조건은 설정된 OPI를 유지하도록 가해지는 표준 인장력 조건과, 최대 인장력 조건을 비교하였으며, 각각의 조건은 시편 프레임에 장력 조절 장치를 이용해 구현되었다. 봉합 조건에서는 시편의 중앙에 1줄의 봉합선을 삽입한 봉합 시편과, 표준 인장력 조건의 시편을 비교하였으며, 봉합 시편의 형상은 그림 2(c)와 같다. 표준 인장력 조건, 최대 인장력 조건, 봉합 조건 이상 세 가지 시편의 측정 및 비교가 수행되었다.
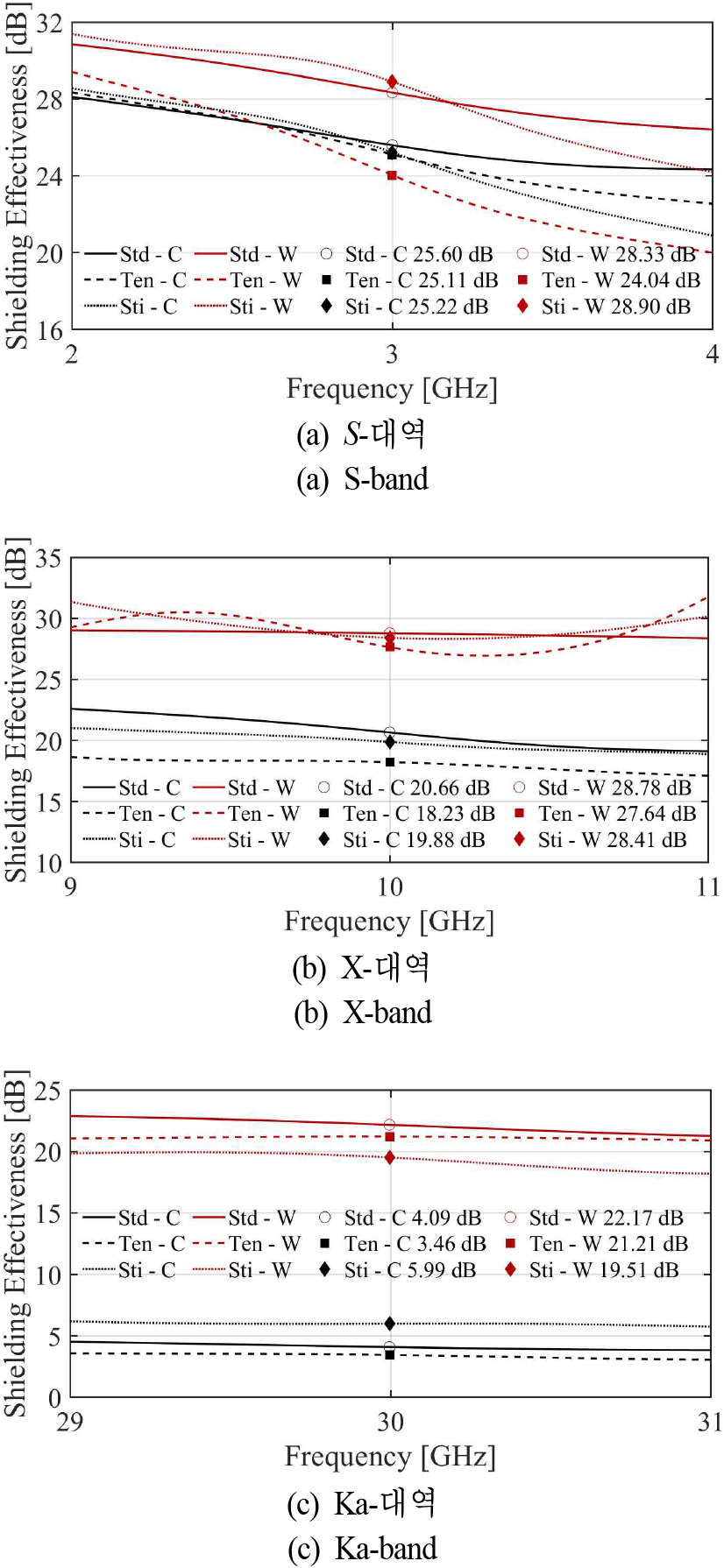
주파수 대역은 S-대역(약 3 GHz), X-대역(약 10 GHz), Ka-대역(약 30 GHz)으로 구분하였으며, 각 대역에 따라 S-대역에는 10 OPI, X-대역에는 18 OPI, Ka-대역에는 30 OPI 시편을 사용하였다. 측정 결과, 인장력 조건 변화(그림 3의 Ten으로 표기)에 따른 대략적인 SE 차이는 −4~−0 dB 수준으로, 전대역에서 최대 장력 시편의 일관된 SE 감소가 확인되었으며, 이는 인장력에 따른 개구 확장의 영향으로 해석된다. 봉합선 유무(그림 3의 Sti로 표기)에 따른 대략적인 SE의 차이는 모든 주파수 대역에서 −3~+2 dB 이내로 관측되었으며, 일관된 증가나 감소는 확인되지 않았다. 이는 봉합 부위의 국부적인 기계적 불연속성이 소규모 반사 또는 회절을 유발할 수 있으나, 전체 시편 면적과 봉합 부위 면적을 고려할 때 영향의 예측이 제한적임을 보여준다. 이상의 결과를 통해, 위성용 금속 메쉬 반사판 구성에서 봉합선의 삽입 또는 장력의 비균일성이 전자기 차폐 성능에 제한적인 영향을 미침을 확인할 수 있었다. 측정 결과에 따르면, 차폐효율(SE)은 약 −4 dB에서 +2 dB 범위의 편차를 보였다. 이에 대한 상세한 분석은 그림 3에 정리되어 있다.
IV. 결 론
본 연구에서는 위성용 금속 메쉬 반사판의 구조 조건 변화가 전자기 차폐 특성에 미치는 영향을 정량적으로 분석하기 위해, 흡수체 기반 자유공간 측정법에 시간 영역 게이팅 기법을 적용한 광대역 SE(shielding effectiveness) 측정 시스템을 사용하고, 그 정확성과 재현성을 기존 표준 측정법들과의 비교를 통해 검증하였다. 실험 결과, 해당 시스템은 S, X, Ka-대역 전반에서 ±1 dB 이내의 오차 범위를 유지하며 신뢰도 있는 측정 결과를 제공함을 확인하였다.
이어진 실험에서는 위성 시스템 적용 사례와 동일한 사양의 Mo/Au 도금 Atlas 패턴 메쉬를 대상으로 봉합 유무 및 인장력 조건을 변화시켜 차폐 특성의 민감도를 평가하였다. 구조 조건 변화에 따라 관측된 SE의 편차는 대부분 ±3 dB 이내였으며, 일부 극단 조건에서도 최대 ±4 dB 수준에 그쳤다. 차폐 성능이 전반적으로 −20 dB 내외의 낮은 수준에서 형성되는 상황을 고려할 때, 이러한 편차는 구조 인자에 따른 전자파 차폐 성능의 변화가 실제 시스템에 미치는 영향이 제한적일 가능성을 시사한다. 그러나 SE 측정은 전자기 투과 특성의 간접적 지표로서, 실제 반사판의 반사 효율, 위상 왜곡, 빔 정합도 등 안테나 단위의 방사 특성에 대한 정보를 포함하지 않으므로, 구조 조건 변화가 안테나 전체 성능에 미치는 영향을 종합적으로 판단하기 위해서는 후속적인 안테나 레벨의 전파 특성 검증이 필수적이다. 본 연구팀은 이러한 필요성을 인식하고 있으며, 후속 연구로서 동일 메쉬 시편을 적용한 반사판 구성에 대해 안테나 특성 기반의 실험적 분석을 수행할 계획이다.
본 연구는 금속 메쉬 반사판 구성에 있어 봉합선 삽입이나 인장력 편차와 같은 구조 인자들이 차폐 성능에 미치는 영향이 상대적으로 제한적이며, ±3 dB 내외의 편차 범위는 제작 공정에서의 허용 공차로 설정 가능한 수준임을 실험적으로 제시하였다. 이는 향후 안테나 단위 검증의 기초 자료로 활용될 수 있을 것이다.






