I. 서 론
최근 이동통신 및 위성 통신을 포함한 무선통신 분야의 발전으로 다양한 기능을 갖춘 안테나의 수요가 증가하고 있다. 패턴 재구성 안테나는 안테나의 기계적 조작 없이 빔 방향을 재구성할 수 있기에 주목받고 있다[1].
빔 조향은 여러 방식으로 구현될 수 있다. 한 방법은 안테나의 급전 위치를 선택하기 위해 급전 위치를 변환할 수 있도록 설계하는 것이다[2]. 또 다른 방법은 위상 배열을 사용하는 것이다. 위상 배열에서는 안테나 요소를 배열하고, 각 요소에 위상차를 부여하여 빔을 제어한다. 위상차는 다른 길이의 전송선로를 택하는 방식의 위상 천이기(phase shifter)를 사용하거나 PIN 다이오드, 버렉터 다이오드 등의 수동 소자를 통해 안테나의 크기를 전기적으로 조정함으로써 달성될 수 있다. PIN 다이오드가 있는 구조는 선택적으로 몇 개 방향의 고정된 빔만 선택할 수 있다는 제한이 있다. 반대로, 버렉터 다이오드가 RF 스위치로 사용되는 경우, 빔의 조향각은 연속적으로 구현될 수 있다. 패치의 전기적 길이를 변경하기 위해 버렉터를 사용하여 개별 패치의 공진 주파수를 조절함으로써 빔 조향을 가능하게 한 연구도 보고되었다[3]. 또한, 빔 조향을 위해 전자적으로 조향 가능한 기생 배열 방사체(ESPAR) 구조를 활용한 사례도 있다[4].
본 논문에서는 복잡한 급전 구조나 위상 천이기 없이 버렉터 다이오드를 사용하여 두 패치 간의 위상차를 기반으로 패턴 재구성이 가능하고 주파수 조정이 가능한 안테나를 제안한다. 각 안테나 요소의 버렉터 다이오드에 서로 다른 역전압을 인가하면 두 패치 간의 정전용량 차이 ΔC가 발생하고 두 요소 간에 위상차 Δφ 가 발생한다. 빔 조향을 구현하기 위해 안테나 요소 간에 점진적인 위상차를 발생시켜 공진 주파수 차이를 유도하여 방사 패턴의 기울기를 발생시킨다[3].
II. 안테나 구성
본 논문에서 제안한 안테나 구조는 그림 1과 같다. 유전율 2.2, 손실 탄젠트 0.0009의 TLY-05 기판 위에 제작되었다. 제안된 구조는 2개의 패치 안테나 소자를 가진 배열 안테나로 구성되었으며, 각각은 2개의 버렉터 다이오드에 연결된 I 자형 스터브를 포함한다. 각 소자 상단의 2개의 버렉터 다이오드(SMV1276-079LF)에 바이어스 전압을 인가하기 위한 2개의 독립적인 바이어스 회로를 I 자형 스터브에 연결하였다. 패치의 중심에는 DC 접지를 위한 단락 핀이 위치하였으며, 이는 안테나 성능에 미치는 영향을 최소화하기 위해 선택되었다. 바이어스 회로는 큰 저항(R=18 kΩ), RF 초크 역할을 하는 인덕터(L=100 nH), 바이패스 커패시터(C=39 pF)를 포함하였다. 각 소자에서 버렉터 다이오드에 인가되는 전압의 점진적인 변화는 패치의 전기적 길이에 점진적인 변화를 유도하여 패치 간에 연속적인 위상 차이 Δφ 를 발생시킨다. 결과적으로 Δφ 는 방사 패턴과 주파수를 변화시킬 수 있다. 위상 차이(Δφ)는 왼쪽 패치와 오른쪽 패치 사이에 발생한 전기장의 상대적인 위상 이동을 나타내며, 왼쪽 패치가 기준점이 된다. 식 (1)을 이용하여 패치의 편파 방향을 고려하여 전기장 위상 을 계산하였다.
각 패치에 동일한 바이어스 전압을 인가하면 브로드사이드 패턴이 생성되는 반면, 1.2~2.5 V의 역바이어스 전압은 yoz 평면에서 패치 방향으로 빔 조향을 발생시켰다. 이때 발생하는 조향의 범위는 ±15°까지였으며, 패치 사이에 인가되는 역바이어스 전압의 크기에 따라 연속적으로 변화하였다. 빔 조향을 위한 동작 주파수는 2.9~3.15 GHz 사이였다. 표 1에서 다른 결과물들과의 성능을 비교하였다[2]~[5]. 여기서 다른 결과물들은 참고 문헌에서 제안된 안테나를 의미하며 주파수 가변성, 안테나 이득, 사용된 RF 스위치 개수, 연속적인 빔 조향, 회전 가능한 각도 그리고 안테나의 크기 측면에서 비교하였으며 전체적인 비교에서 본 논문에서 제안한 안테나는 비교 결과 종합적인 측면에서 훌륭하게 경쟁력이 있음을 확인할 수 있었다.
| Ref. | Freq. (GHz) | Gain peak (dBi) | RF Switch/Num. of switches | Continues steering / Num. of modes | Steering angle | Size (λ0 × λ0) |
|---|---|---|---|---|---|---|
| [2] | 2.45 | 6.15 | P/2 | N.A./3 | −30, 0, 30 | 1×2 |
| [3] | 2.15~2.38 | 7~8.4 | V/2 | O | −23/23 | 1.16×1.24 |
| [4] | 2.4 | 6.3~8.8 | V/4 | O | −26/29 | 1.92×1.04 |
| [5] | 2.45 | 6.5 | P/4 | N.A./3 | −30, 0, 24 | r=0.28 |
| This work | 2.95~3.15 | 6~9.57 | V/4 | O | −15/15 | 0.92×1.25 |
P: PIN diode, V: Varactor diode, r: radius.
III. 안테나 분석 및 최적화
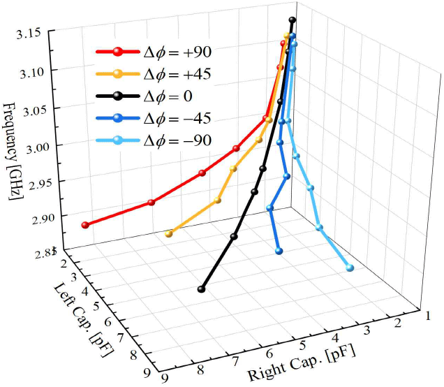
두 패치의 버렉터의 등가 정전용량을 다르게 적용함에 따라 그림 2와 같이 두 패치 간의 공진주파수와 위상차가 변화하였다. ’left cap.’은 왼쪽 패치에서 두 개의 버렉터를 의미하는 반면, ’right cap.’은 오른쪽 패치에서 두 개의 버렉터를 의미한다. 만약 왼쪽 버렉터와 오른쪽 버렉터의 정전용량 값이 동일하다면 패치 간의 전기적 길이는 동일하다. 따라서 패치 간의 위상차 Δφ 는 0°이므로 위상차가 없다. 왼쪽 패치의 정전용량 값이 오른쪽 패치의 정전용량 값보다 작아지면 Δφ 는 음의 방향으로 변화한다. 반대로 왼쪽 패치의 정전용량 값이 오른쪽 패치보다 커지면 Δφ 는 양의 방향으로 변화한다. 이러한 변화는 더 작은 정전용량을 가진 패치의 방향으로 빔의 기울어짐을 초래한다. 본 논문에서 사용된 버렉터로 구현할 수 있는 정전용량 범위를 고려하여 시뮬레이션을 진행하였으나 정전용량 값이 고려된 값보다 큰 경우에도 그림 2와 같은 경향성을 유지하였다. 왼쪽 패치의 버렉터의 정전용량 값을 6.85 pF로 고정하고 오른쪽 패치의 버렉터의 커패시턴스 값을 각각 6.85, 4.5, 3.14 pF로 변경하면 두 패치 안테나 간의 위상차는 각각 0°, 45°, 90°이다.
그림 3은 시뮬레이션한 방사 패턴과 반사 계수를 보여준다. 식 (2)에서 보는 바와 같이 패치 간의 위상차가 커짐에 따라 빔도 더 크게 조향됨을 알 수 있다. θ는 각도, λ 는 파장의 길이, d는 두 패치 간의 거리, f 는 주파수, C 는 광속이다. d 가 84 mm이고 f 가 2.97 GHz일 때 (2): Δφ =100°에서 19.5°, Δφ =90°에서 17.5°, Δφ =45°에서 8.6°를 사용하여 최대 조향각을 계산할 수 있다. 시뮬레이션 결과 두 패치 간의 위상차가 100°일 때 메인 빔의 방향은 17°, 위상차가 90°, 45°일 때 메인 빔의 방향은 각각 15°, 6°이었다. 시뮬레이션을 통해 얻은 빔 조향의 최댓값은 식 (2)에서 얻은 값보다 2.5° 낮았다. 동일한 역 바이어스 전압 조건에서도 주파수의 변화에 따라 두 패치 간의 위상차는 변화한다. 그림 3(b)에서 보는 바와 같이 위상차가 커짐에 따라 두 패치의 공진 주파수는 더 멀어지게 되었다.
그림 4는 좌측 정전용량이 6.8 pF, 우측 정전용량이 3.1 pF인 제안된 안테나의 시뮬레이션 결과를 보여준다.
2.95 GHz에서 두 안테나의 위상차는 −92.74°, 빔 방향은 15°이다. 주파수가 2.95 GHz에서 멀어짐에 따라 두 안테나의 위상차가 감소하여 빔이 점차 왼쪽으로 이동한다.
그림 5는 두 패치 사이의 거리에 따른 방사 패턴과 반사 계수를 보여준다. 시뮬레이션은 left cap.=3.16pF와 right cap.=6.85 pF 조건에서 진행하였다. 방사 패턴은 반사 계수 그래프에서 원으로 표시된 주파수인 3 GHz를 기준으로 시뮬레이션되었다. 식 (2)에서 최대 조향 가능 빔 각도 θ 은 패치 사이의 거리 d에 따라 달라진다. 두 패치 사이의 위상 차이가 90°와 d가 58 mm일 때 θ=25.53°, d=84 mm일 때 θ=17.31°, d가 110 mm일 때 θ=13.14°이었다. HFSS로 시뮬레이션한 결과는 d=58 mm일 때 θ=20°, d=84 mm일 때 θ=15°, d=110 mm일 때 θ=12°이었다. d=58 mm의 경우 최대 가능 조향각이 크고 패치 사이의 거리가 짧았지만 반사 계수의 품질이 −3.7 dB로 좋지 않았다. 적절한 반사 계수와 조향각을 고려하여 패치 사이의 거리 d는 84 mm로 결정하였다.
그림 6 은 Lgap에 따른 방사 패턴의 null 깊이와 빔 조향 각도 변화에 대한 시뮬레이션 결과를 보여준다. Left cap.=3.16 pF와 right cap.=6.85 pF를 사용하여 시뮬레이션을 진행하였다. 빔의 각도와 null의 깊이는 반비례하였다. Lgap의 길이가 2.25 mm를 넘어서 증가할 때 두 패치의 공진 주파수 사이의 디튜닝 정도는 감소하였다. 두 패치 사이의 위상차가 감소하였기 때문에 빔 조향과 null 깊이는 감소하였다. Null 깊이와 조향각이 크기 때문에 패치와 스터브 사이의 거리인 Lgap은 1.85 mm로 결정되었다.
IV. 시뮬레이션 및 측정 결과
본 논문에서 제안한 안테나의 성능을 검증하기 위해 실제로 프로토타입 안테나를 제작하였으며, 사진을 그림 7에서 확인할 수 있다.
표 2에는 인가된 역바이어스 전압에 따른 등가 정전용량이 정리되어 있다. 그림 8은 서로 다른 바이어스 조건에서 제안된 안테나의 S11 시뮬레이션 및 측정 결과를 보여준다. 그림 8(a)는 −10 dB 이하의 반사 계수 지점을 중심으로, 최대 빔 조향 주파수(동그라미)와 빔 조향이 가능한 대역(음영 영역)을 나타낸다. 그림 8(b)는 두 공진 주파수가 일치하는 조건에서 측정된 반사 계수를 보여주며, 최대 조향 시와 비조향 시의 동작 대역폭이 일치함을 확인할 수 있다. 시뮬레이션과 측정 결과는 전반적으로 잘 일치하였다. 그림 8(a)의 검은색 곡선은 좌측 패치의 버렉터 다이오드에 0 V, 우측에 2.3 V를 인가한 경우이며, 전압 증가에 따라 정전용량이 감소하면서 공진 주파수가 증가하였다. 제안된 안테나는 2.95~3.13 GHz에서 5.28 %의 가변 대역폭을 보였다.
| Voltage (V) | 0 | 2.3 | 3 | 4.3 | 6 | 8.5 |
|---|---|---|---|---|---|---|
| Capacitance (pF) | 6.85 | 3.16 | 2.47 | 1.93 | 1.55 | 1.35 |
| Voltage (V) | 1.2 | 3.8 | 7.6 | |||
| Capacitance (pF) | 4 | 2.1 | 1.4 | |||
| Frequency (GHz) | 2.95 | 3.03 | 3.13 | |||
그림 9는 그림 8에서 음영 처리한 대역폭 중 최대 조향이 발생하는 주파수인 2.95, 3.01, 3.13 GHz에서 측정된 방사 패턴을 나타낸다. 각 주파수에서 각각 15°, 14°, 17°의 빔 조향각이 달성되었다. 두 안테나 요소 간 위상차가 0°일 때 브로드사이드 빔 패턴이 관찰되었으며, ∓90°의 위상 차에서는 메인 빔이 평균 약 ±15°, null은 ∓40° 방향으로 조향되었다. 빔이 최대로 기울어진 경우, 주파수에 따라 7.7~9.01 dBi의 최대 이득을 보였으며, 빔이 기울어지지 않은 경우에는 8.27~9.74 dBi의 최대 이득을 나타냈다. 이는 제안된 구조가 주파수 및 빔 조향 조건에 관계없이 안정적인 이득 특성을 제공함을 보여준다. 그림 8 및 그림 9의 측정 결과를 바탕으로, 본 논문에서는 5.28 % 대역폭 내에서 ±15°의 빔 조향 특성을 유지할 수 있는 안테나가 구현되었음을 확인할 수 있다.
V. 결 론
본 논문에서는 빔 조향 기능을 갖는 주파수 가변 안테나를 제안한다. 제안된 안테나는 5.28 %(2.95~3.15 GHz)의 가용 대역폭에서 ±15°의 연속 빔 조향이 가능하다. 패턴의 null은 메인 빔이 ±15°로 최대 조향 될 때 ∓23° 부근에서 발생하며, 23°~40° 또는 −40°~23° 사이에서 연속 조향이 가능하다. 패치 간 최대 위상 차이는 주파수에 따라 87.85°~99.96°, −101.38°~−87.07°로 나타났다. 제안된 안테나는 빔 조향 기술이 필요한 LEO 위성 및 UAV 통신에 적용 가능하다.






