The Journal of Korean Institute of Electromagnetic Engineering and Science
The Korean Institute of Electromagnetic Engineering and Science
논문/REGULAR PAPERS

A6 마그네트론을 위한 TE31-TE11 모드 변환기 성능 비교

오동현https://orcid.org/0009-0004-4738-8521, 권해진*https://orcid.org/0009-0009-1898-6262, 손동희*https://orcid.org/0009-0002-4716-4435, 한정훈https://orcid.org/0000-0002-3721-7700
Dong-Hyun Ohhttps://orcid.org/0009-0004-4738-8521, Hae-Jin Kwon*https://orcid.org/0009-0009-1898-6262, Dong-Hee Son*https://orcid.org/0009-0002-4716-4435, Jung-Hoon Hanhttps://orcid.org/0000-0002-3721-7700
한국항공대학교 전기전자공학과
*한화에어로스페이스㈜
Department of Electrical and Electronic Engineering, Korea Aerospace University
*Hanwha Aerospace
Corresponding Author: Jung-Hoon Han (e-mail: jh.han@kau.ac.kr)

© Copyright 2026 The Korean Institute of Electromagnetic Engineering and Science. This is an Open-Access article distributed under the terms of the Creative Commons Attribution Non-Commercial License (http://creativecommons.org/licenses/by-nc/4.0/) which permits unrestricted non-commercial use, distribution, and reproduction in any medium, provided the original work is properly cited.

Received: Oct 02, 2025; Revised: Nov 11, 2025; Accepted: Dec 01, 2025

Published Online: Feb 28, 2026

요 약

다양한 산업 분야에서 고출력 발진기로서 상대론적 마그네트론(RM, relativistic magnetron)의 활용성이 주목받고 있다. 그중 6개의 부채꼴 공동을 갖는 A6 마그네트론은 기존에 많이 활용되는 회절 출력(DO, diffraction output) 구조를 통해 전력을 추출하는 과정에서 TE31 모드가 지배적으로 발생된다. 그러나 TE31 모드는 안테나 입력 시 중앙 지향성이 저하되어 빔의 초점 효율이 떨어지는 한계를 지닌다. 이에 TE31 모드를 중앙 지향성이 우수한 TE11 모드로 변환하여 에너지 집속 문제를 해결하기 위한 모드 변환기를 설계할 수 있다. 본 논문에서는 TE31-TE11 모드 변환기를 위해 길이 차이 기반의 모드 변환기 2종과 슬롯 구조 기반의 1종, 총 세 가지 유형의 변환기를 각각 설계하였으며, CST-microwave studio를 이용한 시뮬레이션으로 각 설계안의 성능을 비교 분석하였다. 그 결과, 슬롯 구조를 적용한 모드 변환기가 97 %로 가장 높은 변환 효율을 나타냈으며, 길이 차이 기반 모드 변환기 중에서는 평행하게 배열된 사각 도파관 구조가 90 %, 수직으로 배열된 사각 도파관 구조가 86 %로 사각 도파관이 평행하게 배열된 구조가 더 우수한 성능을 보였음을 확인하였다.

Abstract

An A6-type relativistic magnetron (RM) with a conventional diffraction output (DO) structure generates the TE31 mode that is unsuitable for antenna applications because of its poor central directivity and degraded beam focusing efficiency. To address this limitation, the TE31 mode must be converted into the fundamental TE11 mode that is known for its high directivity. In this study, we designed and comparatively analyzed three types of TE31 to TE11 mode converters using CST Microwave Studio: two converters employing a length difference method (one converter with a perpendicular and the other converter with a parallel waveguide arrangement) and one converter using a coupled slot structure. The simulation results demonstrated that the coupled slot-based converter achieved the highest conversion efficiency of 97 % and a wide bandwidth. Furthermore, among the two length difference designs, the parallel waveguide configuration exhibited a superior conversion efficiency of 90 % compared with 86 % for the perpendicular configuration.

Keywords: Diffraction Output; Magnetron; Mode Converter; Relativistic Magnetron

Ⅰ. 서 론

최근 다양한 산업 분야에서 고출력의 전력 성능을 갖는 발진기의 필요성이 대두되고 있다. 그중에서도 마그네트론은 작은 크기에도 불구하고 높은 출력 성능으로 인해 각광받고 있는 발진기 중 하나이다[1]~[3]. 마그네트론은 1921년 미국의 Albert Hull 박사가 최초로 제안한 개념에서 시작되며 초기 마그네트론은 기본적으로 음극(cathode)과 양극(anode)으로 구성된다. 초기 마그네트론의 경우 낮은 효율과 kW급의 출력 성능을 가진다. 산업의 발전으로 더 높은 출력을 가진 신호원에 대한 요구가 커지면서, 마그네트론 역시 출력을 높일 필요성이 대두되었다. 1976년, MIT에서 발표한 상대론적 마그네트론(RM, relativistic magnetron)은 음극의 방출 전자 밀도를 수 keV까지 높인 마그네트론으로 최대 MW~GW 급의 전자기파 출력 성능을 보인다[4]~[6]. 이러한 마그네트론의 고출력 에너지를 외부로 효율적으로 추출하기 위해 수평축(radial) 방향 에너지 추출 구조와 수직축(axial) 방향 에너지 추출 구조가 연구되어 왔다. 이 중 수평축 에너지 추출 구조의 경우 마그네트론의 한 공동에 도파관을 연결하여 에너지를 추출한다. 반면 수직축 에너지 추출 구조의 경우 마그네트론의 축 방향에 에너지 유도 구조와 도파관을 연결하여 모든 공동에서의 에너지를 추출하는 방식을 사용한다. 기존에는 수평축 방향 출력 구조가 수직축 방향 출력 구조보다 높은 출력 효율을 보여왔으나 최근 수직축 방향 출력 구조물의 출력 효율을 높이는 방법을 통해 70 % 까지 출력 효율을 높이는 방법이 제시되었다[7]. 그러나 여전히 이러한 수직축 방향 출력 구조는 출력 도파관에서 나타나는 모드가 안테나에서 활용하기 어려운 원형 도파관의 TE31 모드로 나타나는 문제점이 존재한다.

본 논문에서는 A6 마그네트론의 수직축 방향 출력 구조의 실용성을 높이기 위해 안테나 방사에 부적합한 원형 도파관의 TE31 모드를 지향성이 높은 TE11 모드로 변환하는 세 종류의 모드 변환기를 설계하고 그 성능을 비교 분석한다. 이를 위해 전송 선로의 길이 차와 ‘전자기 결합 슬롯’이라는 두 가지 서로 다른 전자기 이론을 적용하여 변환기를 각각 설계하였다. 본 논문의 구성은 다음과 같다. Ⅱ장에서는 마그네트론의 기본 동작 원리와 및 회절 출력 구조 및 모드 변환의 필요성에 관해 설명한다. Ⅲ장에서는 두 가지 전자기 이론에 기반한 모드 변환기들을 각각 설계한다. 첫 번째로 3-1절에서는 길이 차이 기반의 모드 변환기 2종을 설계하였으며 두 번째로 3-2절에서는 결합 슬롯 기반의 모드 변환기를 설계하였다. Ⅳ장에서는 설계한 세 모드 변환기의 성능을 비교 분석하여 최적의 구조물을 제시하였다.

Ⅱ. 마그네트론 및 수직축 방향 출력 구조

그림 1에 RM의 형상과 그 설계 파라미터를 나타내었다.

jkiees-37-2-161-g1
그림 1. | Fig. 1. A6 상대론적 마그네트론의 형상과 설계 파라미터 | Geometry of the A6 relativistic magnetron and design parameters.
Download Original Figure

그림에 표시된 주요 파라미터는 음극 반경(rc)과 양극 반경(ra)이다. 마그네트론의 음극에 전압을 가하게 되면 음극은 무수히 많은 전자를 방출한다. 양극에는 전기장과 자기장의 강한 교차장이 형성되어 있으며 음극에서 방출된 전자는 형성된 교차장에 의해 로런츠 힘을 받아 회전하는 경로를 그리며 양극 방향으로 이동한다. 로런츠 힘은 식 (1)과 같다.

F = e E + v × B
(1)

여기서 e는 전자의 전하량, v는 전자의 초기 속도, EB는 각각 마그네트론 내부에 형성된 전기장과 자기장을 의미한다. 양극에는 6개의 공동이 존재하며, 그림 1에서 각 공동의 반경은 rcav, 공동의 각도는 ϕcav로 표기되었다. 양극의 공동들은 SWS(slow-wave-structure) 구조로 불리며 파동의 속도를 빛보다 느리게 만들어 전자-파 간 에너지 상호작용을 가능하게 하는 역할을 한다. 공동의 형태는 다양하게 설계될 수 있으며, 그림 1처럼 6개의 부채꼴 형태의 공동을 사용하는 마그네트론 구조를 A6 마그네트론이라 칭한다. 이러한 공동의 존재로 인해 마그네트론은 공진 구조 내에 여러 동작 모드(mode)를 가질 수 있으며, 동작 조건에 따라 특정 모드로 발진한다.

그림 2에 마그네트론의 두 가지 동작 모드를 나타내었다. pn 모드는 마그네트론 내부 전자의 움직임에 따라 n번째에 나타나는 모드를 의미한다. 좌측의 p2 모드의 경우 마그네트론 내부 인접 공동 간 위상이 4번 반전된다. 반면 우측의 p3 모드의 경우 모든 인접 공동에서 위상이 반전된다. 이에 따라 p3 모드는 π 모드라고도 칭해지며 해당 모드에서 마그네트론의 효율이 가장 높게 나타난다. 마그네트론의 π 모드 동작을 위해서 다음의 Hull’s cut-off 조건식과 Buneman-Hartree 조건식이 사용된다[8].

V H = e r a 2 8 m 1 r c 2 r a 2 B min 2
(2)
V B H = 2 π f N r a 2 r c 2 B max m 2 π f N 2 r a 2 2 e
(3)
jkiees-37-2-161-g2
그림 2. | Fig. 2. A6 마그네트론의 p2p3(π) 동작 모드에 따른 전기장 분포 | Electric field distribution of the p2 mode and p3(π) mode.
Download Original Figure

수식에서 VH는 Hull 전압, VBH는 Buneman-Hartree 전압을 의미하며 N은 공동의 개수, m은 전자의 질량, f는 마그네트론 발진 주파수를 의미한다. Hull’s cut-off 조건식은 음극에서 방출된 전자가 로런츠 힘을 받아 이동할 때 양극에 도달하기 위한 최소 자기장 값 Bmin을 계산하는 수식이며 Buneman-Hartree 조건식은 전자가 공동에서 마이크로파와 상호작용할 수 있는 최대의 자기장 값 Bmax를 계산하는 수식이다.

그림 3은 두 조건식을 적용한 결과이다. 그림에서 파란색 실선은 Hull`s cut-off 조건식 결과를, 붉은색 점선과 주황색 점선은 각각 π 모드와 p2 모드의 BH 조건식 결과를 나타낸다. 마그네트론이 π 모드로 동작하기 위해서는 Hull 조건 이하 영역에서 π 모드의 BH 조건보다는 높고 p2 모드의 BH 조건보다는 낮은 영역을 동작점으로 선택해야 한다.

jkiees-37-2-161-g3
그림 3. | Fig. 3. 수직축 방향 출력 구조인 DO 구조의 형상 | Geometry of the diffraction output structure.
Download Original Figure

마그네트론에서 생성된 고출력 전력을 외부로 추출하기 위해 대표적으로 수평축(radial) 및 수직축(axial) 방향의 두 가지 출력 구조가 연구되어 왔다. 수평축 출력 방식은 특정 공동 하나에 직접 도파관을 연결하여 전력을 추출한다. 이 구조는 단일 공동의 전력만을 추출하므로 출력 효율이 낮다. 반면 수직축 출력 방식은 축 방향으로 출력 구조를 배치하여 모든 공동에서 생성된 전력을 모두 추출할 수 있다. 이러한 높은 출력 효율의 가능성 때문에 현재 많은 연구 기관에서 수직축 출력 구조에 대한 연구가 활발히 진행되고 있다.

대표적인 수직축 출력 구조로 그림 4와 같은 회절 출력(DO, diffraction output) 구조를 사용한다[9],[10]. DO 구조는 양극의 끝을 수직으로 점차 가늘어지게 연장한 테이퍼(tapered) 형태를 갖는다. 이 구조는 마그네트론 공진부에서 형성된 전자기 에너지를 외부 도파관으로 자연스럽게 안내하는 역할을 한다. 이러한 에너지 추출 방식에 따라 DO 구조의 출력단에 나타나는 전파 모드는 마그네트론 내부의 동작 모드와 밀접한 관련이 존재한다.

jkiees-37-2-161-g4
그림 4. | Fig. 4. 수직축 방향 출력 구조인 DO 구조의 단면 형상 | Cross-sectional geometry of the diffraction output structure.
Download Original Figure

그림 5는 마그네트론이 π 모드로 동작할 때, DO 구조의 출력부에서 형성되는 전기장 분포를 보여준다. 마그네트론 내부에 형성된 π 모드의 위상 분포는 DO 구조를 거쳐 전파되면서, 출력부에서 동일한 위상 변화 특성을 갖는 TE31 모드가 형성된다. DO 구조를 통해 추출된 전력은 최종적으로 안테나를 통해 공간으로 방사될 수 있다. 그러나 출력단에 형성되는 TE31 모드는, 그림 6의 방사 패턴 시뮬레이션 결과에서 볼 수 있듯이 안테나 응용에 부적합한 특성을 갖는다. 이 모드는 주엽(main lobe)이 여러 개로 나뉘고 부엽(side lobe) 레벨이 높게 나타난다. 이러한 방사 패턴은 전력이 목표 방향으로 집중되지 않고 넓게 분산된다. 따라서 좁은 지역에 전력을 집중하기에는 한계가 존재한다.

jkiees-37-2-161-g5
그림 5. | Fig. 5. π 모드에서의 마그네트론 및 DO 구조 출력부에서의 전기장 분포 | Electric field distribution of the magnetron and at the output of the DO structure for the π mode.
Download Original Figure
jkiees-37-2-161-g6
그림 6. | Fig. 6. TE31 모드 입력에 대한 원뿔대형 혼 안테나의 시뮬레이션 방사 패턴 | Simulated radiation pattern of the conical horn antenna for the TE31 mode input.
Download Original Figure

이러한 TE31 모드의 근본적인 한계를 극복하기 위해, 해당 모드를 안테나 방사에 특화된 원형 도파관의 기본 모드(fundamental mode)로 변환하는 모드 변환기 연구가 필요하다.

Ⅲ. TE31-TE11 모드 변환기 구조

원형 도파관 구조에서 나타나는 기본 모드인 TE11 모드는 단일 주엽 빔을 가지며, 높은 지향성이 특징으로 에너지 집속에 매우 유리한 모드이다. 따라서 이러한 기본 모드로의 모드 변환 구조에 대한 연구가 활발히 이루어지고 있다[11],[12].

이를 바탕으로, 본 장에서는 TE31 모드를 TE11 모드로 변환하기 위해 서로 다른 두 가지 전자기적인 원리에 기반한 모드 변환기를 설계한다. 설계한 모드 변환기는 물리적 길이 차를 이용한 위상 조절 원리를 적용한 두 종류의 변환기와 전자기 결합 슬롯 이론을 적용한 한 종류의 변환기이다.

3-1 길이 차이 기반의 TE31-TE11 모드 변환기 2종

TE31 모드를 TE11 모드로 변환하는 원리는 두 모드의 전기장 분포 차이를 분석하는 것부터 시작한다.

그림 7은 각각 그림 7(a) TE31 모드와 그림 7(b) TE11 모드의 전기장 분포를 보여준다. 두 분포 비교 결과, 그림 7(b)의 TE11 모드의 경우 모든 전기장 흐름이 한쪽으로 형성된다. 반면 그림 7(a)의 TE31 모드는 6개의 강한 전기장 흐름이 존재한다. 붉은색 실선으로 표시된 2개 영역의 전기장 흐름이 좌에서 우로 향하지만, 푸른색 점선으로 표시된 4개 영역의 전기장 흐름은 그와 반대인 우에서 좌로 형성된다. 따라서 붉은색 영역의 전기장 흐름을 우에서 좌로 흐르도록 반전시킨다면, 모든 필드가 좌에서 우로 정렬되며 TE31 모드 내 상대적으로 약한 전기장 또한 해당 흐름으로 정렬된다. TE11 모드와 동일한 전기장 흐름을 얻을 수 있다.

jkiees-37-2-161-g7
그림 7. | Fig. 7. TE31 모드의 전기장 집중 영역과 TE11 모드의 전기장 분포 | The electric field concentration region of the TE31 mode and the electric field distribution of the TE11 mode.
Download Original Figure

2020년 중국 연구진은 이러한 원리를 활용하여 TE31 모드를 TM01 모드로 변환하는 모드 변환기 구조를 제안한 바 있다[13]. 본 섹터에서는 이와 같은 변환 원리를 기반으로 CST-MWS를 사용하여 TE31 모드를 TE11 모드로 변환하는 구조를 설계하였다. 그림 8은 설계한 모드 변환기의 형상을 나타낸다. 그림 8(a)에서, 모드 변환기의 구조는 3개의 층으로 구성된다. 입력층(input layer)은 DO 구조와 연결되는 첫 번째 단계로, 입력되는 TE31 모드의 전기장이 강하게 형성되는 6개의 영역을 사각 도파관을 통해 분리하는 역할을 한다. 변환층(conversion layer)은 분리된 사각 도파관 내 전기장의 위상을 직접적으로 조절하여 모드 변환을 유도하는 핵심 부분이다. 출력층(output layer)은 위상 조절이 완료된 전기장을 다시 결합하여 TE11 모드를 최종적으로 출력하는 층이다. 그림 8(b)는 모드 변환기를 위에서 바라본 모습이다. 입력층 내부에는 임피던스 매칭을 위한 원뿔대형(cone) 구조물이 존재하며 해당 구조물은 출력층 내부에도 존재한다. 변환층에서는 6개의 분리된 도파관 중 붉은색과 파란색으로 표시된 도파관의 길이에 차이를 두어 전기장의 위상을 조절한다. 이 길이 차이를 통해 두 도파관 내의 전기장 위상차를 180°로 만듦으로써, 출력층에서 TE11 모드로 효과적으로 결합되도록 한다.

jkiees-37-2-161-g8
그림 8. | Fig. 8. 길이 차이 기반의 TE31-TE11 모드 변환기 형상 | Geometry of the TE31 to TE11 mode converter based on length difference.
Download Original Figure

입력층에서 전파가 원형 도파관에서 사각 도파관으로 효율적으로 전파되려면, 사각 도파관의 차단 주파수(fc)를 확인하는 것이 필요하다. 그림 9는 사각 도파관 내 형성 모드와 입력층에서 원형 도파관을 확장한 모습을 나타낸다. 그림 9(a)는 사각 도파관 내 전파가 전파되는 모습을 나타낸다. 전파는 도파관 내에서 사각 도파관의 TE10 모드로 형성되어 이동하며, 이 모드의 차단 주파수가 시스템의 동작 주파수(f0)보다 낮도록 사각 도파관의 크기를 설계해야 한다. 그림 9(b)는 모드 변환기의 입력부를 확대한 그림이다. 사각 도파관의 차단 주파수(fc)를 동작 주파수(f0)보다 낮게 설정하기 위해서는 DO 구조의 출력부보다 원형 도파관의 크기를 확장할 필요가 있다. 이를 위해 입력부에 사다리꼴 형태의 구조물을 추가하여 원형 도파관의 직경을 증가시켰다.

jkiees-37-2-161-g9
그림 9. | Fig. 9. 사각 도파관 내 형성 모드와 입력층에서의 원형 도파관 크기 확장 | Forming mode in the rectangular waveguide and expansion of circular waveguide in the input layer.
Download Original Figure

모드 변환기에서 TE31 모드를 TE11 모드로 변형하기 위해 전기장 위상차를 180도로 만들기 위한 두 도파관의 길이 차이는 다음 수식을 통하여 설계가 가능하다.

L 2 L 1 = λ g 2
(4)
λ g = λ 0 1 λ 0 λ c 2
(5)

여기서 λ0는 자유공간 파장, λc는 도파관 내 차단 파장을 의미한다. 수식 4는 동일한 두 도파관의 위상 차를 180°로 만들기 위해서는 도파관의 길이 차를 관내 파장의 절반만큼 주면 된다는 것을 의미한다. 사각 도파관의 관내 파장은 수식 5를 통해 계산이 가능하다. 그림 10은 TE31-TE11 모드 변환기의 전기장 분포 시뮬레이션 결과이다. 좌측 입력층으로 입사된 TE31 모드는 그림에서 다중 사각 도파관을 통해서 독립적인 TE10 모드로 나누어지는 모드 분기 현상을 명확하게 관찰할 수 있다. 우측 출력단에서는 나누어졌던 TE10 모드들이 다시 하나로 합쳐지면서 목표 모드인 TE11 모드로 변환이 완료되는 모습을 확인할 수 있다.

jkiees-37-2-161-g10
그림 10. | Fig. 10. 길이 차이 기반의 TE31-TE11 모드 변환기의 전기장 분포 시뮬레이션 결과 | Simulated electric field distribution of the TE31 to TE11 mode converter based on length difference.
Download Original Figure

시뮬레이션 결과에서 나누어진 TE31 모드의 전기장이 사각 도파관으로 들어가거나 나올 때 전기장이 구조 벽면에 부딪히며 이동하는 것을 확인할 수 있다. 이러한 요소는 반사 손실의 원인으로 작용한다. 또한 그림 11에 묘사되어 있듯이 앞선 모드 변환기 구조는 변환층에 연결된 6개의 사각 도파관이 입력 포트와 수직으로 배열되어 있다. 이러한 구조는 입사된 전자파의 전파 경로가 급격하게 꺾여 반사 손실을 증가시키는 잠재적 원인이 된다. 이러한 문제를 해결하고 전자파를 변환층으로 더 원활하게 유도하기 위해, 사각 도파관을 입력 포트와 평행하게 재배치한 새로운 구조를 설계한다.

jkiees-37-2-161-g11
그림 11. | Fig. 11. 입력층과 변환층 간의 수직적인 결합 구조 | Perpendicular coupling structure of the input and conversion layers
Download Original Figure

그림 12는 사각 도파관이 입, 출력층의 방향과 동일하게 위아래로 배치된 TE31-TE11 모드 변환기의 형상을 보여준다. 이 구조는 변환층에 위치한 6개의 사각 도파관 중 2개의 전송 길이를 평행축으로 늘려 위상 반전을 유도하였고 나머지 4개의 도파관은 위상 변화 없이 출력층으로 직접 연결된다. 이를 통하여 위에서 입력된 전자파가 변환층을 거쳐 아래의 출력층까지 자연스럽게 전파된다.

jkiees-37-2-161-g12
그림 12. | Fig. 12. 사각 도파관이 평행하게 배치된 길이 차이 기반의 TE31 to TE11 모드 변환기 형상 | Geometry of the TE31 to TE11 mode converter based on length difference with parallel rectangular waveguides.
Download Original Figure

그림 13은 사각 도파관이 평행하게 배치된 TE31-TE11 모드 변환기의 전기장 분포 시뮬레이션 결과이다. 좌측 입력층에 입사된 TE31 모드 중 전계 강도가 높은 영역이 변환층의 사각 도파관으로 원활하게 유도되는 것을 볼 수 있다. 이후, 변환층을 통과한 전기장은 최종적으로 출력 포트에서 목표 모드인 TE11로 성공적으로 변환되었음을 확인할 수 있다.

jkiees-37-2-161-g13
그림 13. | Fig. 13. 사각 도파관이 평행하게 배치된 길이 차이 기반의 TE31-TE11 모드 변환기의 전기장 분포 시뮬레이션 결과 | Electric field distribution simulation result of TE31 to TE11 mode converter based on length difference with parallel rectangular waveguides.
Download Original Figure
3-2 결합 슬롯 기반의 TE31 to TE11 모드 변환기

TE31-TE11 모드 변환을 위한 위상 변환은 도파관의 길이 차이를 이용하는 방식 외에 결합 슬롯(coupled slot) 이론을 통해서도 구현할 수 있다[14]. 그림 14는 결합 슬롯 이론의 핵심인 등가 원리를 설명하는 그림이다. 그림에서, 영역 A에서 영역 C로 슬롯 영역 B를 통해 전자파가 전파된다. 이때, 영역 B로 향하는 입구 2개를 막고 영역 A와 C에 각각 기존 전자파와 등가의 자류 M1, M2를 설치하면, 물리 법칙에 따라 영역 B에는 M1, M2와 크기가 같고 방향이 반대인 −M1, −M2가 유도되는 것이 결합 슬롯의 등가 원리이다.

jkiees-37-2-161-g14
그림 14. | Fig. 14. 결합 슬롯 이론의 필드 모델 | Field model of the coupled-slot theory.
Download Original Figure

그림 15는 전자기적 결합 슬롯 이론을 적용하여 모드 변환을 수행하는 대표적인 예시이다. 이 모드 변환기는 외부 구조물(external structure)과 내부 구조물(internal structure)로 구성된다. 외부 구조물은 DO 구조와 연결되므로 반경이 DO 구조의 출력부와 동일하며, 이를 통해 TE31 모드가 입력된다. 모드 변환에 핵심적인 역할을 하는 내부 구조물에는 8개의 슬롯이 설계되어 있으며, 이 슬롯에서 등가 원리를 통해 TE31 모드가 목표 모드인 TE11 모드로 변환된다. 슬롯의 너비나 길이는 목표 주파수에 맞게 튜닝을 진행하였다.

jkiees-37-2-161-g15
그림 15. | Fig. 15. 결합 슬롯 기반의 TE31-TE11 모드 변환기 | TE31 to TE11 mode converter with coupled slots.
Download Original Figure

그림 16은 결합 슬롯 원리를 이용한 TE31 to TE11 모드 변환의 원리를 보여주는 단면 전기장 분포이다. 입사된 TE31 모드 중 파란색 점선 상자로 표시된 영역은 앞선 그림 11의 영역 A와 같다. 표시 영역 내 전기장은 내부 구조물의 슬롯을 통과한다. 여기서, 내부 구조물 내 영역은 그림 11의 영역 B와 같다. 등가 원리를 통해 내부 구조물 내에 크기가 같으면서 위상이 180° 반전된 전기장이 유도된다. 반면, 슬롯이 없는 영역의 전기장은 위상 변화 없이 내부 구조로 그대로 전파된다. 결과적으로 모든 영역의 전기장이 한 방향으로 정렬되면서 최종적으로 내부 구조물에서 TE11 모드가 형성되는 것을 확인할 수 있다. 그림 17은 슬롯 구조 기반 모드 변환기의 전기장 분포 시뮬레이션 결과이다. 좌측 입력부에서 입사된 TE31 모드가 변환기 내부를 지나면서 TE11 모드가 형성되고 있음을 확인할 수 있다.

jkiees-37-2-161-g16
그림 16. | Fig. 16. 결합 슬롯 기반 TE31-TE11 모드 변환기의 변환 원리 | Conversion principle of the TE31 to TE11 mode converter with coupled slots.
Download Original Figure
jkiees-37-2-161-g17
그림 17. | Fig. 17. 결합 슬롯 기반 TE31-TE11 모드 변환기의 전기장 분포 시뮬레이션 결과 | Simulated electric field distribution of the TE31 to TE11 mode converter with coupled slots.
Download Original Figure

Ⅳ. 세 모드 변환기 성능 비교

본 논문에서 설계한 세 모드 변환기는 TE31 모드에서 전기장 강도가 높은 영역의 위상을 반전시켜 TE11 모드를 형성한다는 공통된 원리를 기반으로 한다. 그러나 위상 반전을 구현하는 방식에서, 두 개는 사각 도파관의 물리적 길이 차를 이용했고 다른 하나는 전자기 결합 이론을 적용한 슬롯 구조를 사용했다. 각 방식의 성능 비교를 위해 상용 전자파 해석 도구인 CST-Microwave studio를 통한 S-parameter 시뮬레이션을 진행하였다.

그림 18는 길이 차를 이용한 모드 변환기 중 사각 도파관이 수직으로 배치된 모드 변환기의 S-parameter 시뮬레이션 결과를 보여준다. 분석 결과, 해당 변환기는 목표 주파수 f0에서 −1.21 dB의 S21 값을 보였으며 이를 전력 기반으로 환산하면 약 86 %의 모드 변환 효율을 보였다. 또한 변환기가 유효하게 동작할 수 있는 범위인 목표 주파수 대비 −3dB 대역폭은 약 2.8 %로 나타났다.

jkiees-37-2-161-g18
그림 18. | Fig. 18. 사각 도파관이 수직으로 배치된 길이 차이 기반 TE31-TE11 모드 변환기의 S-parameter 시뮬레이션 결과 | S-parameter simulation results of the TE31 to TE11 mode converter based on length difference method with perpendicular waveguides.
Download Original Figure

그림 19는 사각 도파관이 평행하게 배치된 모드 변환기의 S-parameter 시뮬레이션 결과이다. 모드 변환기는 목표 주파수 f0에서 −0.86 dB의 S21 값이 나타났으며 전력 기반으로 환산 시 약 90 %의 모드 변환 효율을 보였다. 또한 변환기의 목표 주파수 대비 3 dB 대역폭은 약 4.83 %로 나타났다. 두 모드 변환기의 성능 비교 결과, 사각 도파관이 평행하게 배치된 모드 변환기가 수직으로 배치된 구조보다 모드 변환 효율과 3 dB 대역폭 두 측면에서 우수한 특성을 보였다. 이러한 성능 차이는 사각 도파관이 평행하게 배치된 모드 변환기를 설계한 의도대로 TE31 모드의 전기장이 물리적인 꺾임 없이 자연스럽게 사각 도파관 내부로 전파되었으며, 그 결과 해당 구조물에서 반사 손실이 최소화되었음을 알 수 있다.

jkiees-37-2-161-g19
그림 19. | Fig. 19. 사각 도파관이 평행하게 배치된 길이 차이 기반 TE31-TE11 모드 변환기의 S-parameter 시뮬레이션 결과 | S-parameter simulation results of the TE31 to TE11 mode converter based on length difference method with parallel rectangular waveguides.
Download Original Figure

다음으로 결합 슬롯 기반 모드 변환기의 S-parameter 시뮬레이션 결과를 그림 20에 나타내었다. 해당 모드 변환기는 목표 주파수 f0에서 −0.20 dB의 S21 값을 보였다. 이를 전력 기반 환산 시 약 97 %의 높은 변환 효율을 보였으며 목표 주파수 대비 3 dB 대역폭 또한 약 22.22 %로 매우 넓은 광대역 특성을 보였다.

jkiees-37-2-161-g20
그림 20. | Fig. 20. 슬롯 구조 기반 TE31 to TE11 모드 변환기의 S-parameter 시뮬레이션 결과 | Simulation result of TE31 to TE11 mode converter with coupled slots.
Download Original Figure

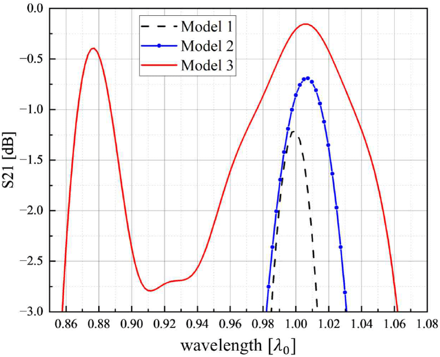
표 1그림 21은 앞서 설계한 세 가지 모드 변환기의 핵심 성능 지표를 비교한 결과이다. 종합적인 성능 비교 결과, 결합 슬롯 기반의 model 3이 가장 우수한 특성을 보였다. model 3은 목표 주파수 f0에서 97 %의 가장 높은 모드 변환 효율을 보였으며, −3 dB 비 대역 또한 22.22 %에 달하는 광대역 특성을 보였다. model 3의 광대역 특성은 모드 변환 방식의 차이에서 기인한다. model 1과 model 2는 전기적 길이의 차이를 이용하여 180°의 위상 변이를 발생시킨다. 해당 방식은 180°의 위상 변화를 위한 구조물의 길이가 특정 주파수 f0에서만 유효하다. 따라서 f0에서 벗어날수록 위상 오차가 증가하여 작동 대역이 제한된다. 반면, model 3는 결합 슬롯 이론에 기반한 모드 변환 방식을 사용한다. 해당 방식은 주파수 변화에 대하여 위상 변환 민감도가 낮아, 상대적으로 넓은 대역으로 TE11 모드로의 위상을 안정적으로 유지할 수 있다.

표 1. | Table 1. 세 가지 모드 변환기 성능 비교 결과 | Performance comparison of the three mode converters.
Models Model 1 Model 2 Model 3
Characteristics
S21 value at f0 (dB) −1.21 −0.86 −0.20
Mode conversion efficiency at f0 (%) 86 90 97
−3 dB bandwidth (fractional bandwidth) (%) 2.8 4.83 22.22

※ Model 1: 길이 차이 기반, 도파관 수직 배열.

Model 2: 길이 차이 기반, 도파관 수평 배열.

Model 3: 결합 슬롯 기반.

Download Excel Table
jkiees-37-2-161-g21
그림 21. | Fig. 21. 세 모드 변환기의 S-parameter 시뮬레이션 비교 결과 | Comparison of S-parameter simulation results for the three mode converters.
Download Original Figure

Ⅴ. 결 론

본 논문에서는 고출력 전자파 발진기인 A6 마그네트론의 수직축 방향 출력 구조에 적용 가능한 TE31-TE11 모드 변환기를 설계하고 그 성능을 비교 분석하였다. 마그네트론에서 출력된 고유 모드(TE31)를 후속 RF 시스템에서 효율적으로 사용하기 위한 표준 모드(TE11)로 변환하는 것은 전체 시스템의 효율적인 운용에서 매우 중요한 역할을 수행한다. 이를 위해 두 가지 서로 다른 전자기적 원리에 기반한 3개의 모드 변환기를 설계하였다. 2개는 전송 선로의 물리적 길이 차이를 이용해 위상을 제어하는 방식이며, 1개는 전자기 결합 이론에 기반한 결합 슬롯 구조를 적용한 방식이다. 시뮬레이션을 통한 성능 비교 결과, 길이 차이를 이용한 변환기 중 사각 도파관이 수직으로 배치된 모드 변환기의 경우 목표 주파수에서 약 86 %의 모드 변환 효율과 2.83 %의 목표 주파수 대비 3 dB 대역폭을 나타냈다. 반면, 사각 도파관이 평행하게 배치된 모드 변환기의 경우 목표 주파수에서 약 90 %의 모드 변환 효율을 보였으며 4.83 %의 목표 주파수 대비 3 dB 대역폭을 보였다. 이는 사각 도파관이 평행하게 배치된 모드 변환기가 TE31 모드 전기장을 더 자연스럽게 사각 도파관으로 유도 가능하였기에 나타난 결과로 보인다. 슬롯 구조를 적용한 변환기는 목표 주파수에서 약 97 %의 더 높은 변환 효율과 22.22 %의 목표 주파수 대비 3 dB 대역폭으로 매우 넓은 광대역 특성을 보였다. 결론적으로, 변환 효율과 대역폭 모든 측면에서 슬롯 구조 기반의 모드 변환기가 가장 우수한 모드 변환 특성을 보였으며 길이 차이 기반 모드 변환기의 경우 사각 도파관이 입력 도파관과 평행하게 배열된 모드 변환기가 더 우수한 모드 변환 특성을 보였다.

Acknowledgements

이 성과는 한화에어로스페이스(주)의 재원으로 고출력 마그네트론 설계 위탁용역의 지원을 받아 수행된 연구 결과임(HWR23008).

References

[1].

J. Benford, J. A. Swegle, and E. Schamiloglu, High Power Microwaves, Boca Raton, FL, CRC Press, 2007.

[2].

J. Benford, "History and future of the relativistic magnetron," in 2010 International Conference on the Origins and Evolution of the Cavity Magnetron, Bournemouth, Apr. 2010, pp. 40-45.

[3].

G. Bekefi, T. J. Orzechowski, "Giant microwave bursts emitted from a field-emission, relativistic-electron-beam magnetron," Physical Review Letters, vol. 37, no. 7, pp. 379-382, Aug. 1976.

[4].

I. Vintizenko, Relativistic Magnetrons, Boca Raton, FL, CRC Press, 2018.

[5].

G. B. Collins, Microwave Magnetrons, New York, NY, McGraw-Hill, 1948.

[6].

D. Andreev, A. Kuskov, and E. Schamiloglu, "Review of the relativistic magnetron," Matter and Radiation at Extremes, vol. 4, no. 6, p. 067201, Nov. 2019.

[7].

M. I. Fuks, E. Schamiloglu, "70% Efficient relativistic magnetron with axial extraction of radiation through a horn antenna," IEEE Transactions on Plasma Science, vol. 38, no. 6, pp. 1302-1312, Jun. 2010.

[8].

J. H. Han, S. K. Ryu, "Optimal operating conditions based on mode competition for maximum efficiency of doublestrapped magnetron," IEEE Transactions on Plasma Science, vol. 47, no. 7, pp. 3160-3167, Jul. 2019.

[9].

M. Daimon, W. Jiang, "Modified configuration of relativistic magnetron with diffraction output for efficiency improvement," Applied Physics Letters, vol. 91, no. 19, p. 191503, Nov. 2007.

[10].

Y. Yin, M. Song, T. Hu, H. Li, B. Wang, and L. Meng, "External coupled millimeter wave magnetron with simple diffraction output," IEEE Electron Device Letters, vol. 40, no. 8, pp. 1305-1308, Aug. 2019.

[11].

C. He, T. Li, K. Wang, R. Cheng, H. Wang, and H. Li, et al., "Preliminary experimental study on a compact relativistic magnetron with diffraction output of TEM mode," IEEE Transactions on Electron Devices, vol. 70, no. 1, pp. 302-306, Jan. 2023.

[12].

D. Sawert, "Modelling and optimisation of relativistic magnetron with transparent cathode: Applications for high-power microwaves," Ph.D. dissertation, Uppsala University, Uppsala, 2023.

[13].

Y. Yang, S. Chen, Y. Liao, P. Xie, C. Yu, "Design of a novel TE31 to TM01 mode converter with high power capacity," in 2020 International Conference on Microwave and Millimeter Wave Technology(ICMMT), Shanghai, Sep. 2020.

[14].

X. Gang, R. Zeng, "A compact TE31-TE11 high power microwave mode converter based on long coupling slot," High Power Laser and Particle Beams, vol. 29, no. 12, p. 123001, Dec. 2017.

Notes

오 동 현 [한국항공대학교/석사과정]

jkiees-37-2-161-i1

  • https://orcid.org/0009-0004-4738-8521

  • 2023년 8월: 제주대학교 통신공학과 (공학사)

  • 2024년 9월~현재: 한국항공대학교 항공전자정보공학과 석사과정

  • [주 관심분야] Antenna, HPM, RF, Magnetron 등

권 해 진 [한화에어로스페이스/주임연구원]

jkiees-37-2-161-i2

  • https://orcid.org/0009-0009-1898-6262

  • 2016년 2월: 단국대학교 전자전기공학부 (공학사)

  • 2018년 8월: 고려대학교 전기전자공학과 (공학석사)

  • 2019년 1월~현재: 한화에어로스페이스 PGM연구소 주임연구원

  • [주 관심분야] Relativistic Magnetron, High Power Electromagnetic, EMP

손 동 희 [한화에어로스페이스/주임연구원]

jkiees-37-2-161-i3

  • https://orcid.org/0009-0002-4716-4435

  • 2017년 2월: 부산대학교 전기전자공학부 (공학사)

  • 2019년 2월: 부산대학교 전기전자컴퓨터공학과 (공학석사)

  • 2019년 1월~현재: 한화에어로스페이스 PGM연구소 주임연구원

  • [주 관심분야] Pulsed Power, Marx Generator, EMP

한 정 훈 [한국항공대학교/조교수]

jkiees-37-2-161-i4

  • https://orcid.org/0000-0002-3721-7700

  • 2009년 2월: 경북대학교 전기공학과 (공학사)

  • 2011년 2월: 한국과학기술원 전기공학과 (공학석사)

  • 2014년 4월: 한국과학기술원 전기공학과 (공학박사)

  • 2014년 9월: 국가보안기술연구소 선임연구원

  • 2021년 3월: 제주대학교 조교수

  • 2024년 3월~현재: 한국항공대학교 전기전자공학과 조교수

  • [주 관심분야] Antenna System, HPM, Radar System, EM Numerical Analysis, Electromagnetic Security, Electronic Warfare 등