The Journal of Korean Institute of Electromagnetic Engineering and Science
The Korean Institute of Electromagnetic Engineering and Science
논문/REGULAR PAPERS

위성 통신 및 레이다 송신기를 위한 고효율 Ka 대역 14 way 방사형 도파관 결합기 개발

송진우https://orcid.org/0009-0002-6818-7994, 백정호*https://orcid.org/0009-0007-1773-1175, 정진호*https://orcid.org/0000-0003-2487-6958, 이상훈https://orcid.org/0000-0002-2635-2069
Jin-Woo Songhttps://orcid.org/0009-0002-6818-7994, Jeong-ho Baek*https://orcid.org/0009-0007-1773-1175, Jin-ho Jeong*https://orcid.org/0000-0003-2487-6958, Sang-Hun Leehttps://orcid.org/0000-0002-2635-2069
웨이브피아
*서강대학교 전자공학과
Wavepia Co., Ltd
*Department of Electronic Engineering, Sogang University
Corresponding Author: Sang-Hun Lee (e-mail: platune@wavepia.com)

© Copyright 2026 The Korean Institute of Electromagnetic Engineering and Science. This is an Open-Access article distributed under the terms of the Creative Commons Attribution Non-Commercial License (http://creativecommons.org/licenses/by-nc/4.0/) which permits unrestricted non-commercial use, distribution, and reproduction in any medium, provided the original work is properly cited.

Received: Nov 07, 2025; Revised: Nov 17, 2025; Accepted: Jan 06, 2026

Published Online: Jan 31, 2026

요 약

본 논문은 Ka 대역에서 사용 가능한 14 way 방사형 도파관 전력 결합기를 설계 및 제작하였다. 본 결합기는 이중 T-접합(dual T-junction)을 이용하여 TE10-TM01 모드 변환기와 방사형 결합구조를 결합한 형태로, 대칭적 전계 분포와 낮은 손실을 동시에 달성하도록 설계하였다. 3D 시뮬레이션과 제작된 방사형 결합기의 측정을 통하여 삽입손실 0.4 dB 이하, 결합 포트의 반사손실 10 dB 이상 결합효율 95 % 이상의 성능을 확인하였다. 제안된 구조는 Ka 대역의 고출력 SSPA(solid-state power amplifier) 결합을 이용한 시스템에 적용할 수 있다.

Abstract

This study presents a 14-way waveguide power combiner applicable to the Ka-band (f±2 GHz). The proposed combiner integrates a dual T-type junction-based TE10-TM01 mode transducer with a radial combining structure, enabling symmetric electric field distribution while simultaneously maintaining low transmission loss. Through 3D simulations and experimental verification, the design demonstrated an insertion loss of less than 0.4 dB, a return loss greater than 16 dB, and a combined efficiency exceeding 95 %. The results indicate that the proposed structure is well-suited for Ka-band high-power systems employing solid-state power amplifier (SSPA) combination techniques.

Keywords: Ka-Band; Waveguide Combiner; T-Type Junction; Power Combiner; Mode Transducer

I. 서 론

Ka 대역(26.5~40 GHz)은 위성 통신, 항공우주 시스템, 고출력 레이다 송신기 및 전자전(EW, electronic warfare) 분야에서 필수적인 주파수 대역으로 자리 잡고 있다[1],[2]. 이러한 다양한 응용 분야에 적용된 시스템은 점차 높은 출력을 요구하게 되고 고출력·광대역·저손실 도파관 전력 결합기는 시스템의 효율과 안정성을 결정하는 핵심 구성요소다. 그러나 기존의 T-junction 결합기 구조는 기존 도파관에 새로운 포트를 접합하는 방식으로 설계되기 때문에 접합부에 불연속점이 발생한다. 이 불연속점에서는 임피던스 정합이 완벽하게 이루어지기 어려워 반사손실이 크게 나타난다. 이를 보상하기 위해 추가적인 매칭 구조를 적용할 수 있으나, 이러한 매칭은 특정 주파수에만 최적으로 동작하는 경향이 있어 협대역 특성을 갖게 된다. 이러한 문제로 기존 T-junction 기반 결합기 구조는 넓은 대역에서 안정적인 동작과 높은 출력이 요구되는 고출력 레이다 및 위성 송신기용 결합기로는 사용하기 어렵다. 이 문제를 해결하기 위해 TE10-TM01 모드 변환을 활용한 축대칭 전계 기반 결합 구조가 연구되고 있다[3],[4]. TM01 모드는 전기장이 축 대칭으로 분포하므로 벽면 전류 밀도가 균일하고, 전력 허용 한계(power handling limit)가 높으며, 회전 대칭 구조 덕분에 기계적 안정성과 내전압 특성이 우수하다[5]. 본 연구에서는 이러한 원리를 Ka대역(f±2 GHz)으로 확장하여, 14way 방사형(radial) 도파관 전력 결합기를 설계하였다. 제안된 결합기는 Dual T-junction 기반 TE10-TM01 모드 변환부와 WR-28 규격의 14개의 입력포트가 같은 간격으로 배치된 중앙 원형 결합 캐비티로 구성된다[6]. 3D 시뮬레이션(HFSS)을 통해 저손실·광대역 성능을 검증하였다[7]. 방위산업 및 항공우주용 Ka 대역 송신 시스템은 긴 전송 거리와 높은 대기 감쇠 환경을 극복하기 위해 높은 출력 전력과 낮은 삽입손실을 동시에 만족하는 고효율 송신 구조를 요구한다. 본 연구에서는 실험 결과를 통해 낮은 삽입손실과 반사손실 특성을 확인하였으며, 그 결과 95 % 이상의 안정적인 전력 결합효율을 달성하였다. 이를 통해 제안된 구조가 Ka 대역 고출력 송신 시스템에 적용 가능함을 실험적으로 입증하였다.

II. Ka 대역 고출력 방사형 결합기 설계

Ka대역 14way 도파관 전력 결합기는 입력 포트로부터 인가된 마이크로파 전력을 중앙의 방사형 결합 캐비티(radial combining cavity)로 결합시켜 단일 출력 포트에서 효율적으로 합성하는 구조로 설계하였다. 결합기는 전체적으로 14개의 입력부, TE10-TM01 모드 변환, 방사형 결합 캐비티, 단일 출력 포트로 구성된다[3],[6]. 14개의 입력부에서 동일한 전력과 위상을 같은 신호가 입력되면, 인가된 입력 신호는 TE10-TM01로 모드 변환을 통해 축대칭 전계 형태의 TM01 모드로 변환된다. 변환된 신호들은 중앙의 원형 캐비티 중심에서 위상이 정합된 상태로 결합되어 고효율 전력 결합(power combining)이 이루어진다.

2-1 14way 신호 입력 및 결합 캐비티 설계

결합부는 14개의 H-plane 입력 포트와 중앙 원형 결합 캐비티, 그리고 중심부 단일 출력 포트로 구성되어 있다. 결합구조의 대칭성의 전력손실을 최소화하고, 결합효율을 극대화하는 핵심 요소로서 14개의 입력 포트는 중심축을 기준으로 25.7° 간격으로 등분 배치하였으며 모든 입력 신호가 동일한 위상 조건을 만족하도록 설계하였으며 그림 1에 형상을 나타내었다.

jkiees-37-1-26-g1
그림 1. | Fig. 1. 결합구조 및 임피던스 정합부 | Combine & impedance matching structure.
Download Original Figure

입력된 신호는 각 도파관을 통해 중앙 캐비티로 전달되며, 캐비티 내부에서는 이들 신호가 축 대칭적으로 중첩되어 단일 전기장으로 합성된다. 이 과정에서 모든 전력이 중심부로 집중되며, 결합된 에너지는 중앙에 있는 캐비티를 통해 출력된다. 중앙에 결합된 캐비티는 결합효율과 출력 방향의 안정성을 확보하기 위해 축대칭 전계 분포로 설계되었다. 각 입력 포트로부터 방사되는 전자기 에너지를 원형 캐비티 내부에서 방사형으로 전파되어 중심으로 수렴하며, 이 과정에서 전계 벡터는 중심축 방향으로 정렬되어 단일 출력 포트로 전력이 집중된다.

출력을 위한 중앙 캐비티는 TM01 모드의 축대칭 전계가 손실 없이 전달될 수 있도록 계단식 원형구조를 적용하였으며 계단식 원형구조의 수치는 다음 표 1과 같다.

표. 1 | Table 1. 결합을 위한 원형구조물 치수 | Radial structure size of combine.
r 4 r 5 r 6 h 3 h 4
21 10.5 4.6 1.5 1.8
Download Excel Table

HFSS(3D simulation)를 통해 Ka대역에서의 형상과 중앙 출력부로 전달되는 전계의 균일성을 그림 2로 나타내었다.

jkiees-37-1-26-g2
그림 2. | Fig. 2. 방사형 도파관 전력 결합기 구조 | Radial waveguide power combiner structure.
Download Original Figure
2-2 TE10-TM01 모드 변환부 및 출력부 설계

TE10 모드의 전기장은 사각 도파관의 폭 방향으로 치우친 비대칭 분포를 가지며, 전계는 가로 방향으로 주로 형성된다. 반면 TM01 모드는 원형 도파관 내에서 중심축을 기준으로 모든 방향에 대해 균일한 전계 강도를 가지며, 전기장은 축 방향으로 방사형 분포를 보인다. 따라서 TE10 모드에서 TM01 모드 변환은 전계의 방향 변화와 대칭성 변화를 동시에 달성해야 한다. 이를 위해 본 연구에서는 H-plane T-junction을 이용한 이중 경로 대칭 구조를 설계하였으며 그림 3에 나타내었다[3],[4]. TE10 모드는 H-plane 방향으로 두 갈래로 분리되며 각각의 신호가 180° 대칭으로 분리되어 동상(in-phase) 조건으로 결합하도록 설계되었다. 두 개로 분리된 신호가 원형 도파관 내부에서 완전한 축 대칭 전계로 중첩되어 TM01 모드가 형성된다.

jkiees-37-1-26-g3
그림 3. | Fig. 3. 제안된 T형 접합 모드 변환부 구조 | Radial waveguide power combiner structure.
Download Original Figure

TE10-TM01 모드 변환부 내부에는 두 개의 원형구조물이 삽입되어 반사손실을 최소화하고 TM01 모드 외 불필요한 고차 모드를 억제한다. 또한 H-field가 대칭면에 수직인 상태로 유지되어 TM01 모드의 전계가 안정적으로 전달된다. E-plane 방향으로 배치된 출력 도파관은 WR-28 포트로 설계하였으며 스텝 구조를 적용해 반사손실을 최소화하였다[7]. TE10-TM01 모드 변환부와 방사형 결합기를 결합한 최종 형상을 그림 4에 나타내었으며 EM 시물레이션 결과는 그림 5에 나타내었다. 시물레이션 결과는 각 포트와 출력 간 삽입손실은 −11.63~−11.85 dB로 약 −0.35 dB의 손실을 확인할 수 있었으며 결합 포트의 반사손실은 −13 dB 이하로 확인되었다.

jkiees-37-1-26-g4
그림 4. | Fig. 4. 제안된 14 way 방사형 도파관 결합기 형상 | Proposed 14 way radial waveguide.
Download Original Figure
jkiees-37-1-26-g5
그림 5. | Fig. 5. 방사형 도파관 결합기의 EM 시뮬레이션 결과 | EM simulation result of radial waveguide combiner.
Download Original Figure

III. 방사형 도파관 결합기 제작 및 측정

3D simulation을 통한 설계와 동일한 특성을 갖는 제품 제작을 위해 가공 및 조립 오차를 최소화할 수 있도록 구조를 분리하고 이를 시뮬레이션을 통해 실제 제작을 위한 최적화 구조로 설계 후 제작을 진행하였다. 결합기를 구현하기 위하여 2개의 구조로 분리하여 제작하였다. 14 way 도파관 결합기의 전체 크기는 159×15 mm2이며 형상은 그림 6과 같다. 측정을 위하여 Ka 대역에서 사용 가능한 Waveguide to coaxial adaptor를 사용하였으며 사용한 어댑터는 Ka 대역에서 VSWR은 1.25, 삽입손실은 0.3 dB의 특성을 가지고 있다.

jkiees-37-1-26-g6
그림 6. | Fig. 6. 제작된 방사형 도파관 결합기 | Fabricated radial waveguide combiner.
Download Original Figure

그림 7은 14way 원형 도파관 결합기의 측정 결과로서 14개의 입력 포트에서 삽입손실을 측정하고 각 포트 간 격리도를 확인하였다. 결합기의 각 포트와 출력 간 삽입손실은 −12.2~−11.87 dB의 특성을 확인하였다. 이는 측정을 위한 어댑터를 포함한 수치로 결합기의 실제 삽입손실은 약 −0.4 dB 이하로 확인되었다. 또한 포트 간 격리도는 −10 dB 이상임을 확인하였다.

jkiees-37-1-26-g7
그림 7. | Fig. 7. 14way 방사형 도파관 결합기 측정 결과 | Measurement of 14way radial waveguide combiner.
Download Original Figure

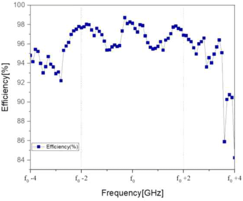
결합기의 결합효율을 정략적으로 평가하기 위해 각 입력 포트의 삽입손실과 결합 포트의 반사손실을 기준으로 결합효율을 산출하였다. 삽입손실은 이상적인 전력 분배 조건으로서의 이론값인 −11.5 dB를 기준으로 각 포트에서 측정된 손실 편차를 계산하였으며, 이들 손실의 평균값을 대표 삽입손실로 정의하였다. 또한 결합포트에서 측정된 반사손실을 함께 고려하여, 식 (1)에 따라 결합효율을 계산하였으며 그림 8에 결과를 나타내었다.

jkiees-37-1-26-g8
그림 8. | Fig. 8. 출력 결합 효율 | Output combine efficiency.
Download Original Figure
η c S 21 2 1 S 11 2
(1)

측정 결과 사용 대역인 f±2 GHz에서는 낮은 반사손실 및 삽입손실로 인하여 95 % 이상의 높은 결합효율을 나타내는 반면 대역 외 주파수에서는 높은 반사손실로 인하여 결합효율이 급격히 저하되는 결과를 나타내었다.

IV. 결 론

본 연구에서는 Ka대역(f±2 GHz)에서 고효율 전력 합성을 구현하기 위한 14 way 방사형 도파관 결합기를 설계하고 제작하였다. 제안된 결합기 구조는 TE10-TM01 모드 변환부, 중앙 방사형 결합 캐비티, 그리고 E-plane 출력 포트로 구성되며, 각 구성요소는 전자기적 대칭성과 위상 정합을 최적화하여 높은 결합효율을 달성하도록 설계하였다. TE10-TM01 모드 변환부는 T형 이중 대칭 구조를 적용하여 입력된 TE10 모드를 축대칭 TM01 모드로 변환함으로써 불필요한 TE11 모드를 제거하였다. 중앙 결합부는 14개의 입력 포트를 같은 간격으로 배치하여 각 경로의 전기적 길이를 동일하게 유지함으로써 동 위상 결합이 이루어지도록 하였다. 또한 출력부는 E-plane 방향으로 전력을 방출하도록 설계되었으며, 단계적(step) 전이 구조를 적용하여 반사손실을 최소화하였다.

제작된 결합기의 측정 결과, 삽입손실은 포트 평균 약 0.4 dB 이하, 격리도는 −10 dB 이하, 그리고 결합효율은 95 % 이상으로 확인되어 설계 목표를 충족하였다.

향후 Ka-대역에서 고출력 송신 시스템의 수요가 지속적으로 증가함에 따라, 본 연구에서 제안한 결합기 구조는 위성통신 및 항공우주 레이다 송신기와 같은 고출력·고효율 RF 송신 모듈의 집적화에 기여할 수 있을 것으로 기대된다[8]. 또한 본 구조는 대전력 GaN SSPA 기반 송신 시스템의 핵심 결합 기술로 활용될 가능성을 기대한다.

References

[1].

M. S. Islam, J. Sultana, N. P. Lawrence, A. T. Pereira, S. J. Salamon, and A. Dinovitser, et al., “Ka-band link budget analysis for deep space communications,” IEEE Access, vol. 13, pp. 159064-159076, Aug. 2025.

[2].

D. Schmid, M. Kucharski, and J. Lienig, “Highefficiency power combining techniques for Ka-band solid-state amplifiers,” IEEE Microwave Magazine, vol. 23, no. 2, pp. 55-64, Mar. 2022.

[3].

J. R. Montejo-Garai, J. A. Ruiz-Cruz, and J. M. Rebollar, “Design of a Ku-band high-purity transducer for the TM01 circular waveguide mode by means of T-type junctions,” IEEE Access, vol. 7, pp. 450-456, Dec. 2018.

[4].

H. C. Kim, H. R. Cho, J. H. Lee, D. J. Lee, S. H. An, and M. H. Lee, et al., “Design and fabrication of Ka-band waveguide combiner with high efficiency and high isolation characteristics,” The Journal of the Institute of Internet, Broadcasting and Communication, vol. 22, no. 2, pp. 35-42, Apr. 2022.

[5].

S. H. Yun, S. O. Kim, S. H. Lee, B. O. Lim, B. H. Lee, and Y. K. Jeon, et al. “A study on a Ku-band high power and high efficiency radial combiner,” The Journal of Korean Institute of Electromagnetic Engineering and Science, vol. 28, no. 5, pp. 400-409, May 2017.

[6].

J. Kim, Y. H. Oh, and S. W. Park, “Development of a 14-way Ka-band radial waveguide power combiner for high-power SSPA system,” KIEES Conference Digest, pp. 212-215, Jul. 2024.

[7].

D. M. Pozar, Microwave Engineering, 5th ed. Hoboken, NJ, John Wiley & Sons, 2017.

[8].

Y. Suzuki, “Analysis of power combining efficiency in radial waveguide networks,” IEEE MTT-S International Microwave Symposium Digest(IMS), pp. 1345-1348, Jun. 2021.

Notes

송 진 우 [웨이브피아/수석연구원]

jkiees-37-1-26-i1

  • https://orcid.org/0009-0002-6818-7994

  • 2006년 2월: 순천향대학교 전자공학과 (공학사)

  • 2008년 2월: 서강대학교 전자공학과 (공학석사)

  • 2026년 2월: 국립목포대학교 전자공학과 (공학박사)

  • 2024년 5월~현재: 웨이브피아 수석연구원

  • [주 관심분야] RF, RF Energy, SSPA, Plasma

백 정 호 [서강대학교/박사과정]

jkiees-37-1-26-i2

  • https://orcid.org/0009-0007-1773-1175

  • 2022년 8월: 서강대학교 전자공학과 (공학사)

  • 2024년 8월: 서강대학교 전자공학과 (공학석사)

  • 2024년 9월~현재 : 서강대학교 전자공학과 (공학박사)

  • [주 관심분야] RF, RF Power Amplifier, CMOS 등

정 진 호 [서강대학교/교수]

jkiees-37-1-26-i3

  • https://orcid.org/0000-0003-2487-6958

  • 1997년 2월: 서울대학교 전기공학부 (공학사)

  • 1999년 2월: 서울대학교 전기공학부 (공학석사)

  • 2004년 8월: 서울대학교 전기컴퓨터공학부 (공학박사)

  • 2004년 10월~2007년 2월: UC San Diego, Postdoctoral Researcher

  • 2007년 3월~2010년 2월: 광운대학교 전자통신공학과 조교수

  • 2010년 3월~현재: 서강대학교 전자공학과 교수

  • [주 관심분야] 마이크로파/밀리미터파/THz 집적회로, 도파관, RF 전력증폭기, 무선전력전송, 라디오미터, 고속 인터커넥트

이 상 훈 [웨이브피아/대표이사]

jkiees-37-1-26-i4

  • https://orcid.org/0000-0002-2635-2069

  • 2002년 2월: 광운대학교 전자공학과 (공학사)

  • 2004년 2월: 광운대학교 전자공학과 (공학석사)

  • 2012년 8월: Texas A&M University (공학박사)

  • 2014년 9월~현재: (주)웨이브피아 대표이사

  • 2023년 3월~현재: 국립목포대학교 전자공학과 조교수

  • [주 관심분야] GaN Transistor 및 MMIC, CMOS